幸运168飞艇开奖结果号码查询



幸运168飞艇开奖结果号码查询

铸造换热行业品牌企业 为世界的供暖事业不懈努力
客户服务热线: 029-83664543
幸运168飞艇开奖结果号码查询
咨询电话
029-83664543 13619288669
地址:西安市经开区凤城凤城十二路与文景路十字西北角中港国际B座2406室
当前位置: 主页 > 新闻中心 > 行业动态
华阴市某小区集中供热系统换热站改造
作者:陕西鲁明热力设备 发布日期:2019-05-16 18:33:16

1.该小区换热站就地设备变频改造

   (1)水泵变频调速原理
    变频调速主要是通过改变供电电源频率对异步电动机进行调速,电动机调动转速进而带动水泵叶轮的转速,影响水泵的流量、扬程及功率。按照交流异步电机理论,其转速公式为:

             (4-1)

     
    式中,n为电动机的转速,f 为异步电动机定子电势频率,P 为电动机的极对数,S为转差率由式( 4-1) 可知,只要均匀电动机定子绕组频率,电动机的转速 n 即与之成正比变化。根据规定,变频泵组调速存在一个高效范围,变频泵一般要求调转速在75%~100%范围内,效率因数为0. 75~0. 80。当变频调速泵低于 50%时,效率因数为0. 3~ 0.5。
(2)水泵耗能计算:水泵的轴功率公式

             (4-2)

    式中N—水泵的轴功率,W;
         —水泵的有效功率,W;
         —液体的容重,
         一水泵的流量,
         —水泵的扬程,m;
         —水泵的效率。
    水泵的工况点是指水泵的特性曲线上具体位置的点,而当水泵某一工况点与系统需要的参数点相等时,称为水泵的平衡工况点也称工作点。变频前后,如果水泵的效率未发生改变,即认为此时工况相似。 当离心式水泵转速改变时,其特性曲线即随之变化。改变水泵转速,即能改变水泵的特性,达到调节水泵的扬程、流量、轴功率的目的。在一定的变频调速范围内,水泵的参数遵守相似原理:

                                           (4-3)

                                       (4-4)
                                       (4-5)

  式中Q1,Q2———工况1,工况2的水泵流量,m3 /s;
         n1,n2———工况1,工况2的水泵转速,r/min;
         H1,H2———工况1,工况2的水泵扬程,m;
         N1,N2———工况1,工况2的水泵轴功率,kW。
  从理论上讲,转速降低10%,水泵流量减少10%、扬程降低19%、轴功率降低27. 1%。由此可见,降低水泵转速将引起轴功率大幅度降低。

  (3)实际水泵变频能耗计算 水泵能耗的计算是以管路的压降为基础展开的,管路压降的计算不仅可以知道各时刻的压降也即水泵需要提供的扬程,同时也决定了水泵的选型,而水泵型号的确定也就决定了水泵的效率。接下来我们以一台水泵为例进行分析。根据流体力学可知,水流经过管道时,存在管道水头损失,其值为                                         (4-6)

   ---管道阻力损失,m;
   —管道中沿程阻力损失之和,m;
   —管道中局部阻力之和,m;
   沿程阻力损失可以通过下述公式表示:

           (4-7)

   式中----某一段管路的摩擦阻力系数;
          -----某一段管路的流速,m/s;
          —分别表示某一段管道的长度、管径,单位分别为m、m。
摩擦阻力系数又与冷冻水的流态有关,而冷冻水的流态需要根据来判断,的计算公式如下

                 (4-8)

 
   式中—雷诺数;
           v—运动豁滞系数,。
   根据分析可知空调冷冻水流态处于紊流过渡区。
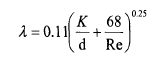
   因此摩擦阻力系数可以采用下述公式计算

  (4-9)

 
    式中K—管内表面的当量绝对粗糙度,m(闭式空调冷冻水系统K=0.0002m);由公式一可以看出,摩擦阻力系数是Re的函数,而由公式可以看出Re又是流速的函数,由于流量的变化引起流速的变化,所以摩擦阻力系数也将随着流量的变化而变化。
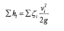
局部阻力损失可以采用下述公式计算

        (4-10)

    式中-----某一段管路的局部阻力系数。
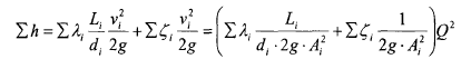
    根据公式一和公式一,管道水头损失如下
                 
                                                    

         (4-11)

    式中----某一段管道的截面积,
    Q----通过管路的流量,
    用S表示,即为管路阻抗,可以看出阻抗S是摩擦阻力系数数和局部阻力系数的函数,通过上述分析可知,由于空调冷冻水处于紊流过渡区,由于流量Q的变化引起摩擦阻力系数的变化,最终引起阻抗S的变化,那么对于空调的冷冻水系统就没有必要大费周章的再去确定管路阻抗S,也即管路特性曲线的确定没有必要,只需要将各个时刻的沿程阻力损失和局部阻力损失分别根据公式(4-7)和公式(4-9)求出,然后根据公式(4-11)得到某一管段的总水头损失,整个最不利环路的压降为压差设定值、冷机压降以及冷机与压差传感器之间的各个管路压降之和,最后根据额定状况时的系统压降和流量来选择水泵型号。

2.该小区集中供热智能监控系统改造

    因为集中供热系统的复杂性、多变性,目前我们对的热网集中监控系统的要求日益复杂,除了管网内的温度、压力、流量、热量等现场参数的采集之外,我们提出了更详细的数据要求,包括不同时段、不同用户的详细参数及机组热负荷的变化情况,以便提高供热管网的供热品质,稳定供热质量,这些参数既可以指导集中供热系统的发展方向,又可以为集中供热系统的运行提供强有力的数据支撑及管理依据。[44]室温温度的采集与分析是影响供热系统的重要因素,在集中供热系统中设计室外温度计算决定系统的设计热负荷,在系统运行时,加入实时室外温度的数据回归,以此来对整个集中供热系统进行运行调节,可以更好的调节供热系统,达到按需供热,减少能耗。
张少军[45]在《城市大型网络化供热监控控制系统的研究》一文中,与我们的设计改造思路不谋而合,他对城市供热站点热计量系统进行了优化,在原有监控系统的基础上加入了控制思路,使得热计量监控系统不仅能实时监测热量的变化,还可以根据热量的变化适时作出调节和自动控制,避免了供热系统不必要的能源浪费,图4.10是优化后的热计量监控系统的闭环结构图。

    图3.7 热计量监控系统的闭环结构图

3.本文小结

    本文首先介绍了华阴市某热力公司集中供热系统远程监控平台的优化及改造概况,之后详尽的介绍了远程监控平台的各个模块功能及应用办法,之后针对华阴市某热力公司供热辖区内的某小区的改造详情,包括变频节能改造及该小区的集中监控系统的改造,通过对变频节能改造详细的分析,阐述了变频节能改造的必要性及迫切性。

相关推荐
相关新闻
{dede:include filename="footer.htm"/}